Today is: Welcome to our website!
 
UES NAME:
PASSWORD:
 
 
Tianshi OCTA LS
Tianshi Ultranox
Tianshi Water
Tianshi SUNSORB
 
  Manager:Li zhanjun
Mobile:013901535462
Tel:0510-87674303 87678600
Fax:0510-87673440 87671303
Address:Yixing City fangzhuang Town
E-mail:lzj@jsjhc.com
 
SUNSORB UV-326
Read:2799  2008-9-9 10:09:52
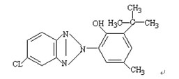
化学名称:2-(2’-羟基-3’-叔丁基-5’-甲基苯基)-5-氯代苯并三唑
英文名称:Ultraviolet Absorber Uv-326
C  A  S:  3896-11-5
式:C17H18N3Ocl
量:315.8
结 构 式:
产品性质:淡黄色结晶粉末,熔点137~141℃。微溶于苯、甲苯、苯乙烯。溶解度为乙酸乙酯2.5克,石油醚1.8克,甲基丙烯酸甲酯4.9克。不溶于水。
产品用途:本品为苯并三唑类紫外线吸收剂,是优良的光稳定剂品种之一,可用于与食品接触的塑料包装材料和儿童塑料中。本品毒性极低,是国际公认的安全性极高的塑料添加剂。可用于聚丙烯、聚乙烯,还可用于聚氯乙烯、有机玻璃、ABS树脂、涂料、石油制品和橡胶等制品。本品和多种高聚物相容性好,并兼具有抗氧性能,可与一般抗氧剂并用。
最大吸收峰(参考):356毫微米。一般用量为0.1-0.3%。
产品规格:外观:淡黄色粉末,熔点:137-141℃
毒性试验:急性毒性试验大白鼠摄入量10.0g/kg剂量,未发生死亡。大白鼠口服半致死量LD50为5000毫克/公斤以上,属于(相对)实际无毒物。
   装:纸袋或桶内衬塑料袋,每袋或桶净重10公斤、20公斤、25公斤
 
Closed